【運算放大器】負反饋系統及其效果分析-KIA MOS管
信息來源:本站 日期:2022-04-14
運算放大器是具有高電壓增益的放大器,但幾乎不是運算放大器單體進行放大。
原因是開環增益存在偏差,或帶寬較窄,難以控制放大率。
因此,一般構成負反饋電路后使用。
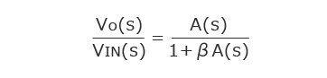
下圖表示負反饋系統的模型。
構成負反饋電路可舉出以下幾個優點。
構成負反饋電路的優點
1. 放大電路的增益固定的領域(帶寬)可得到擴展
2. 由于構成了負反饋電路,使運算放大器的開環增益的偏差影響變小
3. 可抑制失真
1.放大電路的增益固定的領域(帶寬)可得到擴展
首先求出該模型的輸入與輸出的關系,即傳遞函數。
AO : 運算放大器開環增益
β : 反饋率、
1+βA(s) : 反饋量
環路增益 : βA(s)
另外如下式所示,運算放大器具有1階滯后傳遞函數。
上圖的頻率特性用上式關系進行了解釋。
可以發現,由于采用了負反饋,增益變小,變為反饋量的 1/(1+βAO),帶寬從ωO擴大到了 ωO(1+βAO)。
2.由于構成了負反饋電路,使運算放大器的開環增益的偏差影響變小
在輸入與輸出的傳遞函數公式中,假設運算放大器的開環增益足夠大,即AO>>1,則低頻的負反饋電路的增益可近似于1/β。
即運算放大器的開環增益較大時,反饋電路的增益與運算放大器的增益無關,僅由反饋率決定。
同樣,反相放大器等的放大電路的低頻放大率僅由外置電阻決定。
另外,運算放大器的開環增益足夠大即AO>>1 時,即便因溫度特性或制造偏差而使運算放大器的開環增益多少發生變動,所受的影響也比較小。
3.可抑制失真
下圖表示含有誤差要素的反饋電路。
此處將運算放大器中發生的誤差要素表示為VD。
含有失真、誤差電壓、噪音等要素。
下式表示含有失真的傳遞函數。
如公式所示,增益A(s)越大 VD項越小,這樣可抑制誤差。
相反,構成負反饋電路可舉出以下幾個缺點。
構成負反饋電路的缺點
與開環增益相比,電路的放大率降低。
反饋使電路變得易振蕩。
聯系方式:鄒先生
聯系電話:0755-83888366-8022
手機:18123972950
QQ:2880195519
聯系地址:深圳市福田區車公廟天安數碼城天吉大廈CD座5C1
請搜微信公眾號:“KIA半導體”或掃一掃下圖“關注”官方微信公眾號
請“關注”官方微信公眾號:提供 MOS管 技術幫助
免責聲明:本網站部分文章或圖片來源其它出處,如有侵權,請聯系刪除。

