并聯諧振電路特點和應用圖文詳解-KIA MOS管
信息來源:本站 日期:2022-03-10
在電感和電容并聯的電路中,當電容的大小恰恰使電路中的電壓與電流同相位,即電源電能全部為電阻消耗,成為電阻電路時,叫作并聯諧振。
并聯諧振是一種完全的補償,電源無需提供無功功率,只提供電阻所需要的有功功率。諧振時,電路的總電流最小,而支路的電流往往大于電路的總電流,因此,并聯諧振也稱為電流諧振。
發生并聯諧振時,在電感和電容元件中流過很大的電流,因此會造成電路的熔斷器熔斷或燒毀電氣設備的事故;但在無線電工程中往往用來選擇信號和消除干擾。
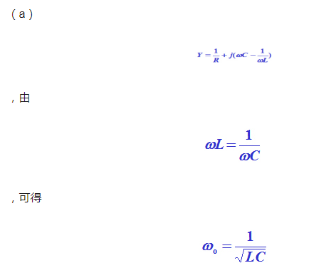
在以下兩類電路中
發生并聯諧振時,
則諧振頻率就是
可得:
1.電壓一定時,諧振時電流最小
2.總阻抗最大
3.電路呈電阻性,支路電流可能會大于總電流
LC并聯諧振回路在通信電子電路中的應用由它的特點決定。具體來說,主要包括三大類,其一是工作于諧振狀態,作為選頻網絡應用,此時呈現為大的電阻,在電流的激勵下輸出較大的電壓;
其二是工作于失諧狀態,此時呈現為感性或容性,與電路中其他電感和電容一起,滿足三點式振蕩電路的振蕩條件,形成正弦波振蕩器;
其三是工作于失諧狀態,即工作于幅頻特性曲線或相頻特性曲線的一側,實現幅頻變換、頻幅變換以及頻相變換、相頻變換,構成角度調制與解調電路。
并聯諧振電路--當外來頻率加于一并聯諧振電路時, 它有以下特性:
1.當外加頻率等于其諧振頻率時其電路阻抗呈純電阻性,且有最大值,它這個特性在實際應用中叫做選頻電路。
2.當外加頻率高于其諧振頻率時,電路阻抗呈容性,相當于一個電容。
3.當外加頻率低于其諧振頻率時,這時電路呈感性,相當于一個電感線圈 。
所以當串聯或并聯諧振電路不是調節在信號頻率點時,信號通過它將會產生相移(即相位失真)。
聯系方式:鄒先生
聯系電話:0755-83888366-8022
手機:18123972950
QQ:2880195519
聯系地址:深圳市福田區車公廟天安數碼城天吉大廈CD座5C1
請搜微信公眾號:“KIA半導體”或掃一掃下圖“關注”官方微信公眾號
請“關注”官方微信公眾號:提供 MOS管 技術幫助
免責聲明:本網站部分文章或圖片來源其它出處,如有侵權,請聯系刪除。
